91探花
91探花
院长书记信箱
导航
91探花概况
91探花简介
历史沿革
组织机构
联系我们
师资队伍
知名专家
教师按职称
教师按研究方向
教师按系别
院机关与实验人员
计算中心
人才培养
本科生
研究生
拔尖基地
学生工作
EFREI国际班
科学研究
研究方向
科研平台
科研动态
学术活动
科研指南
人才引进
人才招聘
博士后招募
党群工作
学习专区
党建工作
关工委工作
工会工作
下载专区
校友天地
校友风采
校友动态
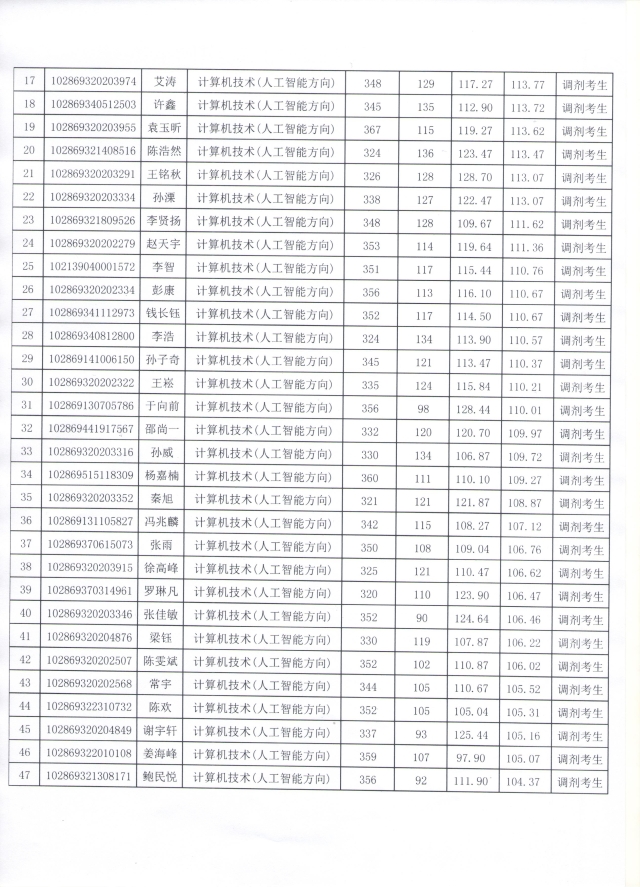
2019年苏州联合研究生院计算机技术专业硕士生复试结果
发布者:蔡志玲
发布时间:2019-03-27
浏览次数:
14128
相关链接
91探花
计算机网络和信息集成教育部重点实验室(91探花 )
新一代人工智能技术与交叉应用教育部重点实验室(91探花 )
江苏省网络与信息安全重点实验室
计算机国家级实验教学示范中心(91探花 )
91探花 计算机科学拔尖学生培养基地
联系方式
通信地址:南京市江宁区91探花 路2号91探花 九龙湖校区计算机学院
邮政编码:211189
办公地点:91探花 九龙湖校区计算机楼
学院微信公众号